Feedback
Please help us to improve this system by providing feedback on your experience with creating this eForm application:
include all your positive and negative experiences as well as what improvements you would like to see in using this
application.
* Is this Application now complete and ready for submission?
Yes
Appendix 1
EForm Name: AE and Bio-Safety Form v3.01
Page:
 
Section G: Attachments
Section:
Please list all attachments appended in support of this application:
Question:
File Name:
001648 Details of Personnel.pdf
Appendix 2
EForm Name: AE and Bio-Safety Form v3.01
Page:
 
Section G: Attachments
Section:
Please list all attachments appended in support of this application:
Question:
File Name:
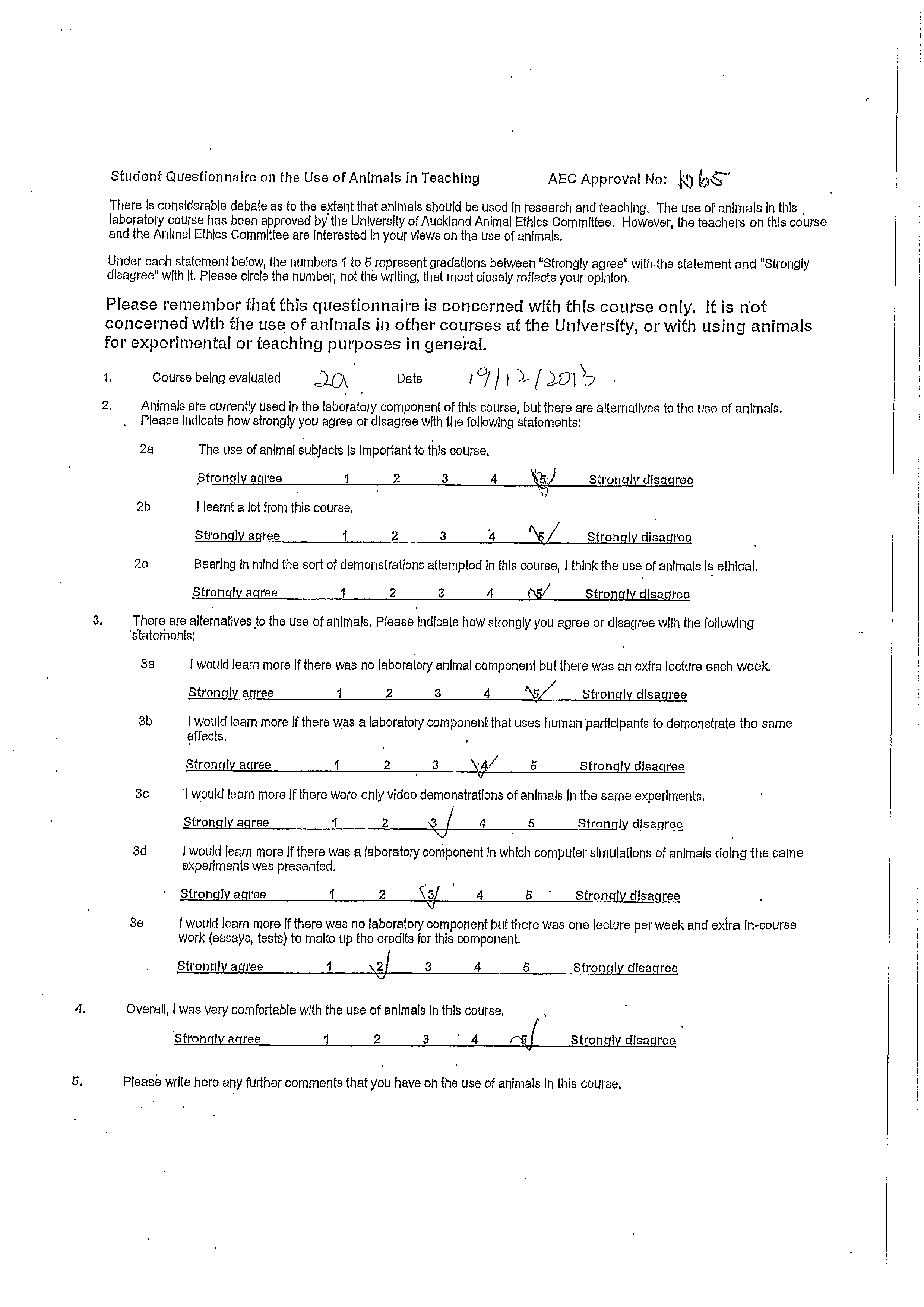
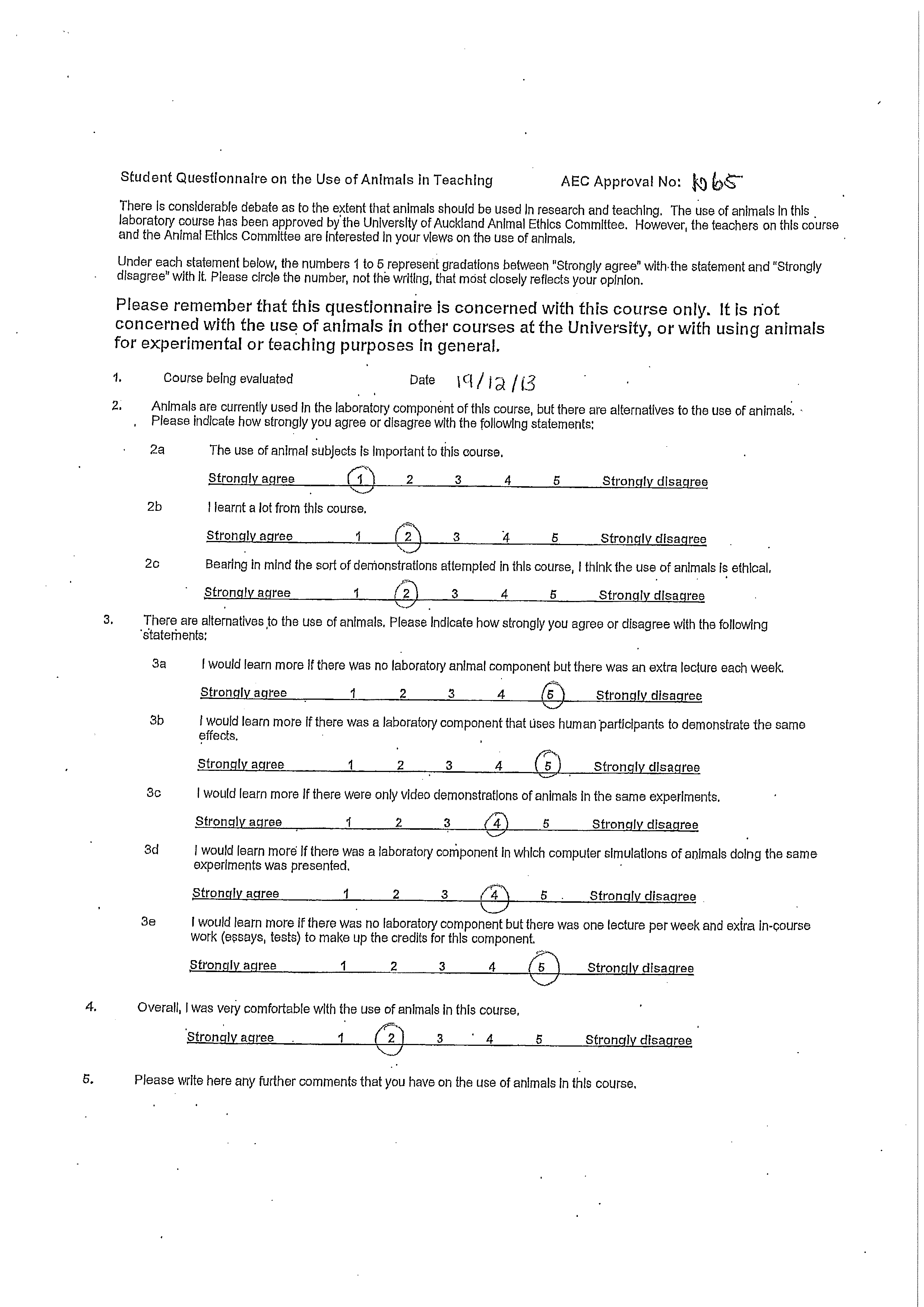
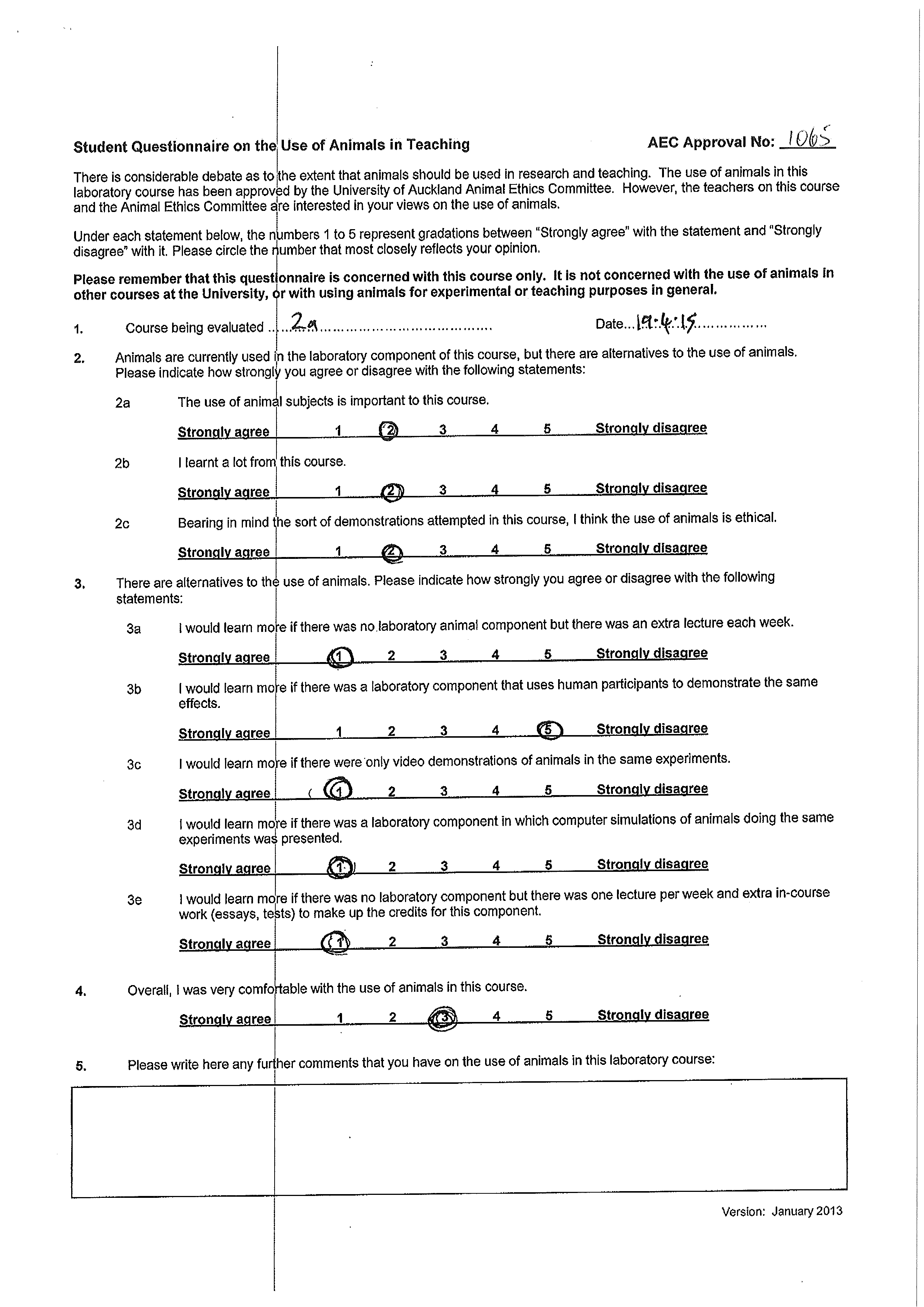
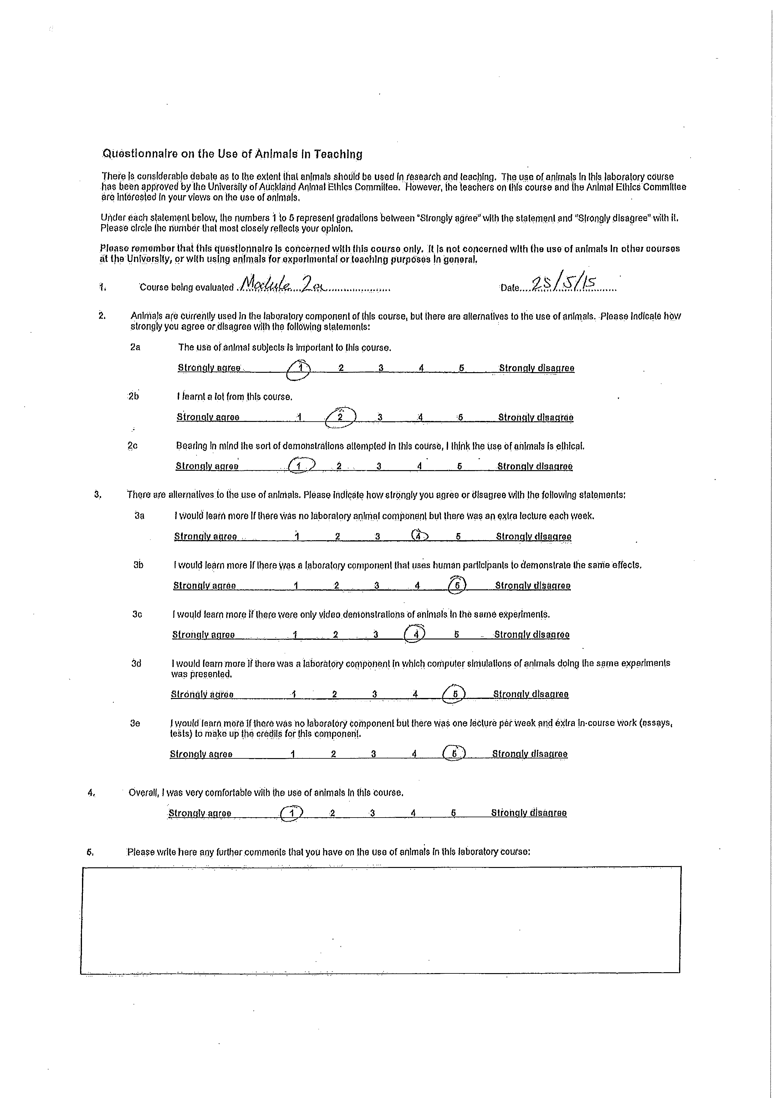
001065 Student Questionnaire summary.pdf

[*]
[1.7]
[1.8]
[1.8]
[4.3]
[4.4]
[3.8]
[3.5]
[3.9]
[1.8]
[*Note that the summary data in the Average Score column is incorrect; the correct average scores  have been inserted above]   
Appendix 3
EForm Name: AE and Bio-Safety Form v3.01
Page:
 
Section G: Attachments
Section:
Please list all attachments appended in support of this application:
Question:
File Name:
001065 Student questionnaires.pdf
Appendix 4
EForm Name: AE and Bio-Safety Form v3.01
Page:
 
Section G: Attachments
Section:
Please list all attachments appended in support of this application:
Question:
File Name:
001648 Manipulations (tracked changes).docx
001648 – Manipulations.
(Manipulation 1)
Euthanasia techniques which may include:
a. Cervical dislocation (mice, rats, birds)
b. Carbon dioxide asphyxiation (mice, rats)
c. Intraperitoneal administration of anaesthetic overdose (mice, rats)
d. Cardiac puncture while terminally unconscious (mice, rats, rabbits)
e. Intravenous administration of anaesthetic overdose (all species)
f. Normal dose of anaesthetic followed by physical method of euthanasia (such as 
exsanguination or cervical dislocation) (all species)
a. Its extent and duration. Include time course,  Carbon dioxide and anaesthetics take a 
dosage etc.
variable time to achieve unconsciousness, up 
to half a minute.  Anaesthetics will be used as 
per IDAO if not administered by a registered 
veterinarian.  For CO2 – animals will be put into 
an empty (of CO2) chamber and it will be filled 
at an uncontrolled rate until the animals are 
dead.
b. The extent to which the animals may 
During the induction phase (with CO2 or 
experience pain or distress during or after any 
anaesthetics) animals usually experience some 
of the manipulations, signs that may be seen 
form of distress and show escape behaviours.  
and why this is unavoidable
There is also likely to be a stage of anaesthesia 
where there is frenzied activity even though 
the animal is already unconscious.  All training 
related to euthanasia will end with death.
c. Detail post manipulation care and/or any 
n/a
special housing needs
d. Explain monitoring procedures, humane 
Death will be confirmed by observation of 
endpoints and contingencies that will be in 
physical parameters such as heart rate (none), 
place to detect and limit signs of pain or 
breathing (stopped), dilated and unreactive 
distress. 
pupil (in the appropriate species).
(Manipulation 2)
Administration of substances, including oral gavage, intraperitoneal, intramuscular, intravenous , 
inhalation and subcutaneous routes. These are only performed in some species as per Table 1
a. Its extent and duration. Include time course,  Administration procedures are usually of less 
dosage etc.
than one minute duration.  Dosage amounts 
will adhere to the maximum administration 
volumes from Table 1.  Sterile saline will be the 
only fluid administered.
b. The extent to which the animals may 
Animals may experience transient distress (e.g. 
experience pain or distress during or after any 
oral gavage) or temporary pain (e.g. at the site 
of the manipulations, signs that may be seen 
of intravenous or intramuscular injection).  
and why this is unavoidable
Subcutaneous injections are administered at 
sites with loose skin and don’t seem to cause 
more than the most transient (seconds in 
duration) pain or distress.  Distress may be 
seen as wriggling and attempts to escape 
restraint, squeaking may be heard from rats 
and mice, squealing from guinea pigs.  Pain 
may be demonstrated by favouring a limb or 
imping (where injected in a limb) or paying 
ncreased attention (licking, grooming) to the 
site of injection.
c. Detail post manipulation care and/or any 
Normal care and housing
special housing needs
d. Explain monitoring procedures, humane 
Animals will be monitored for the duration of 
endpoints and contingencies that will be in 
the procedure and a few minutes afterwards 
place to detect and limit signs of pain or 
as part of the training session. Once animals 
distress. 
have been returned to cages, they will be 
subject to twice daily monitoring by staff as 
per normal monitoring procedures.  Any 
animal that is considered to be still showing 
signs of pain or distress (as specified in Table 2) 
at the first routine monitoring post procedure 
will be given analgesic treatment and 
monitored further in consultation with the 
Animal Welfare Officer. If the animal fails to 
respond to treatment  within four hours, it will 
be euthanised by CO2 or overdose of 
anaesthetic.
Table 1. Administration volumes considered good practice (and possible maximal dose volumes)a
Only the species included in this table will be used to teach administration of substances.
 Species
Route and volumes (ml kg-1)
 
Oral
s.c.
i.p.
i.m.
i.v. (bolus)
i.v. (slow inj.)
Mouse
10 (50)
10 (40)
20 (80)
0.05b (0.1)b 
5
-25
Rat
10 (40)
5 (10)
10 (20)
0.1b (0.2)b
5
-20
Rabbit
10 (15)
1 (2)
5 (20)
0.25 (0.5)
2
-10
Sheep
450 (1000)
450 (1000)
N/A
5 (10)
N/A
450 (1000)
Pigeons
5 (20)
2 (4)
N/A
1 (2)
N/A
N/A
aFor non-aqueous injectates, consideration must be given to time of absorption before re-dosing. No 
more than two intramuscular sites should be used per day. 
Subcutaneous sites should be limited to two or three sites per day. The subcutaneous site does 
not include Freund’s adjuvant administration.
bValues in millilitres per site.
 (Diehl et al, “A Good Practice Guide to the Administration of Substances and Removal of Blood, Including
 Routes and Volumes”).
Table 2. Monitoring criteria for animals following administration of substances
Species
Criteria
Mouse
Activity
Posture
Coat
Respiration
Dehydration
CNS signs
Rat
Activity
Posture
Coat
Respiration
Dehydration
CNS signs
Rabbit
Activity
Respiration
Dehydration
CNS signs
Ear position
Sheep
Activity
Respiration
Posture
Appetite
Bruxism
Pigeon
Behaviour
Grooming
Aggression
(Manipulation 3)
Anaesthesia techniques, including induction by inhalation (mice and rats) or by  injection (all 
species), maintenance of gaseous anaesthesia (mice, rats, sheep), monitoring of reflexes and 
inhalation and injectable delivery of drugs, reflex monitoring, adjustment of anaesthetic depth.
a. Its extent and duration. Include time 
Extent and duration of anaesthesia will be 
course, dosage etc.
dependent on the type of anaesthetic being 
used.  This can vary widely from several 
minutes through to several hours.  Routine 
teaching will most regularly use an inhalation 
anaesthetic (isoflurane) of short duration (e.g. 
10-20 minutes to show induction, 
establishment on face mask and then 
adjustment of anaesthetic levels with 
demonstration of reflexes after changes) or 
injectable anaesthetic such as 
ketamine/domitor which has a much longer 
duration (up to 1 hour sleep time) and possibly 
use of a reversal agent.  
b. The extent to which the animals may 
Pain is unlikely and is not a large feature of 
experience pain or distress during or after any  anaesthetics, although minor needle stick pain 
of the manipulations, signs that may be seen 
may be involved at the site of administration 
and why this is unavoidable
of injectable anaesthetics.  Brief distress (less 
than a minute) and confusion is likely on 
induction of any anaesthesia.  Recovery from 
anaesthesia is also likely to produce some 
confusion, possibly distress, for the duration of 
‘hang over’ (metabolism) from the drugs that 
were used.  For inhalation anaesthetics that 
are largely breathed out rather than 
metabolised then recovery to a normal state is 
much quicker than recovery from injectables 
which do need to be metabolised through the 
liver.  Animals recovering from injectables may 
be affected for hours after regaining 
consciousness and may be quiet, huddle, eat 
and drink less than normal and be slow to 
move if a handler puts their hand in the cage.
c. Detail post manipulation care and/or any 
The previous application had all anaesthetic 
special housing needs
procedures as terminal, but I believe that 
recovery from solely an anaesthetic is justified 
to teach the signs of post-anaesthetic 
behaviour and care.  Any animals which have 
had surgery under anaesthesia will be terminal 
at the end of the procedure without regaining 
consciousness.
d. Explain monitoring procedures, humane 
Animals will be monitored continuously during 
endpoints and contingencies that will be in 
the period of pre-anaesthetic assessment, 
place to detect and limit signs of pain or 
induction and maintenance of anaesthesia and 
distress. 
recovery of consciousness.   Once animals 
have recovered consciousness and are able to 
stand, they will either be monitored 
intermittentlyhourly for the remainder of the 
working day (as per Table 2) or euthanised 
(dependsing on the aim of the teaching 
session).  Animals will be euthanised by the 
end of the working day on which they are 
anaesthetised.
(Manipulation 4)
Blood collection techniques, which may include tail tip, tail vein, saphenous vein, mandibular vein, 
jugular vein, cardiac puncture and ear vein as appropriate to the species.
a. Its extent and duration. Include time 
Rats, mice, guinea pig and rabbit only
course, dosage etc.
Blood collection techniques take a variable 
but short period of time (minutes).  All 
procedures will be taught as per current good 
practice including only teaching appropriate 
techniques for each species and taking no 
more than the safe single bleeding volume if 
the animal is to remain alive at the end of the 
procedure. 
This equates to no more than
Mouse, rabbit and guinea pig 7.7 mL/Kg
Rat 5.5 mL/Kg
Sheep 10 mL
b. The extent to which the animals may 
No animal will be subjected to more than one 
experience pain or distress during or after any  blood collection procedure, to minimise blood 
of the manipulations, signs that may be seen 
loss and distress.  All animals will be 
and why this is unavoidable
restrained during procedures so the main 
signs seen will be attempts to escape (which is 
normal for any blood collection procedure) 
and vocalisation in some species (squeaks, 
squeals).  Cardiac puncture will only be taught 
as a terminal procedure under anaesthetic or 
immediately after death due to another 
means such as CO2 asphyxiation. 
c. Detail post manipulation care and/or any 
Post manipulation care will include pressure 
special housing needs
at the site of blood collection where 
appropriate and frequent monitoring until 
sure that there is no further bleeding at the 
site of collection.  Blood clotting at the site of 
collection usually takes less than 2 minutes 
but observation will continue uninterrupted 
until bleeding has stopped.  
d. Explain monitoring procedures, humane 
Periodic checks will occur throughout the rest 
endpoints and contingencies that will be in 
of the working day for those animals that are 
place to detect and limit signs of pain or 
to survive.  The Uusual daily monitoring will 
distress. 
recommence on the day after the procedure. 
Animals will not be bled again for at least two 
weeks.
(Manipulation 5)
Handling and sexing of animals.
a. Its extent and duration. Include time course,  An eEstablished training modules exists for 
dosage etc.
teaching handling, sexing and euthanasia of 
rats, mice, guinea pigs, rabbits, birds  and 
birdsand sheep.  
b. The extent to which the animals may 
No pain results from these procedures, 
experience pain or distress during or after any  though the animals may exhibit signs of 
of the manipulations, signs that may be seen 
stress. This is unavoidable during the teaching 
and why this is unavoidable
until the students are competent and 
confident.
c. Detail post manipulation care and/or any 
None required.
special housing needs
d. Explain monitoring procedures, humane 
N/A
endpoints and contingencies that will be in 
place to detect and limit signs of pain or 
distress. 
(Manipulation 6)
Surgical techniques which may include suture placement, laparotomy (opening the abdomen), 
subcutaneous implantation, vascular access port placement, implantation of indwelling catheters. 
These procedures will be taught on terminally anaesthetised patientsrats, mice and sheep.  
Students must be proficient in the anaesthetic techniques prior to commencing surgical training 
on live anaesthetised animals.  They must also have practiced on cadavers prior to training on 
anaesthetised patientsanimals.
a. Its extent and duration. Include time 
These procedures will take a variable amount 
course, dosage etc.
of time, but will only occur on terminally 
anaesthetised animals.
b. The extent to which the animals may 
Pain or distress may be experienced on 
experience pain or distress during or after any  induction of anaesthesia as per 2.4.3
of the manipulations, signs that may be seen 
and why this is unavoidable
c. Detail post manipulation care and/or any 
All animals will be killed at the end of teaching 
special housing needs
without recovery from a surgical depth of 
anaesthesia
d. Explain monitoring procedures, humane 
Routine anaesthetic monitoring such as 
endpoints and contingencies that will be in 
breathing, heart rate and reflexes will occurbe 
place to detect and limit signs of pain or 
carried out as appropriate to the species.
distress. 
Appendix 5
EForm Name: AE and Bio-Safety Form v3.01
Page:
 
Section G: Attachments
Section:
Please list all attachments appended in support of this application:
Question:
File Name:
Memo to the AEC 001648.docx
Memo to the Animal Ethics Committee
Subject: Letter of conditional approval of 001648
From: 
 Responsible Investigator
I. Given that some of the animals will be handled, injected, sampled from and then returned 
to their cages, details should be given for some of the answers which are currently N/A, such 
as D4c-h. Information given in the supplemental document don’t include monitoring criteria 
for animals recovering from anaesthesia, sampling etc, and clear humane endpoints. 
Reference is made to standard monitoring and intermittent monitoring, but this is insufficient.
I have amended the document “001648 – Manipulations” to include more details of 
monitoring procedures and end points where appropriate. I’ve also added a second table – 
“Table 2. Monitoring criteria for animals following administration of substances”.
II. Some manipulation endpoints state that if any pain or distress is observed, the animals 
will be killed.
Are there no other options to improve outcomes other than death?
I’ve included the statement “Any animal that is considered to be showing signs of pain or 
distress (as specified in Table 2) will be given analgesic treatment and monitored further in 
consultation with the Animal Welfare Officer. If the animal fails to respond to treatment 
within four hours, it will be euthanised by CO2 or overdose of anaesthetic”.
III. In the supplemental information, animals are referred to as patients, e.g. manipulation 6. 
This word should be replaced with animal.
Sorted.
IV. Is there value in expanding table one to include all the animals being manipulated?
I’ve extended Table 1 to include sheep and pigeons.
V. It is not clear from the descriptions which manipulations relate to sheep and why some of 
the manipulations are limited to only some species.
I’ve indicated, under each manipulation, which items are applicable to which species.
VI. How are researchers notified of available tissues or blood etc?
The facility managers in the 
 are the 
personnel doing the training. They are generally well aware of any other researchers that are 
looking for tissues, and so inform them when they become available. There is nowhere in the 
application form to add this information.
VII. There are no clear guidelines for monitoring the animals that return to their cages- as we 
would expect from research staff, and no clear humane endpoints.
I’ve addressed this in the amended application.