
under the Official Information Act 1982
Released
Document 1
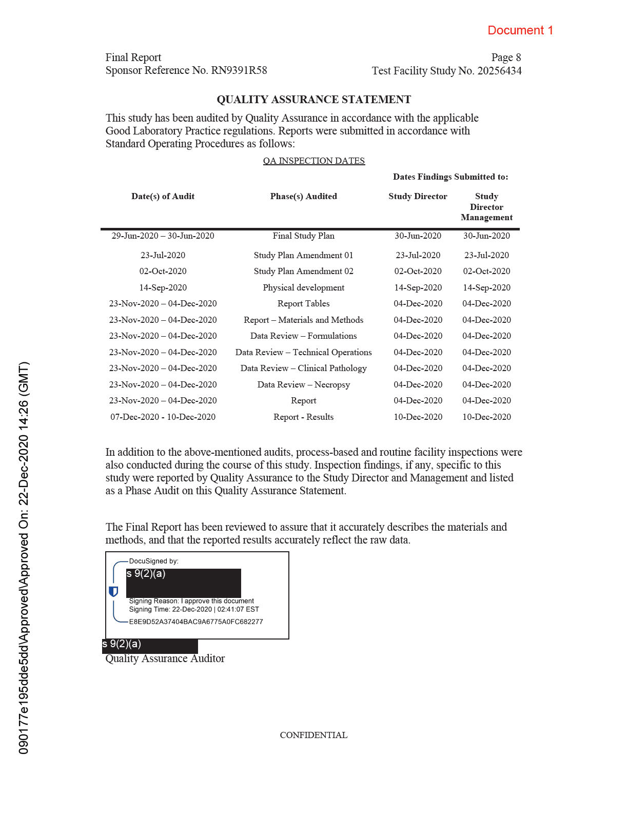
Final Report
Page 2
Sponsor Reference No. RN9391R58
Test Facility Study No. 20256434
TABLE OF CONTENTS
LIST OF FIGURES ...................................................................................................................5
LIST OF TABLES.....................................................................................................................6
LIST OF APPENDICES............................................................................................................7
QUALITY ASSURANCE STATEMENT ................................................................................8
GLP COMPLIANCE STATEMENT AND REPORT APPROVAL ...................................... 9
1.
RESPONSIBLE PERSONNEL............................................................................. .. .... 10
2.
ABSTRACT .................................................................................................... ............11
3.
INTRODUCTION..................................................................................... .... ...............13
4.
MATERIALS AND METHODS ..................................................... .. ..........................14
4.1.
Test Materials................................................................... .... ..............................14
4.1.1.
Test Items Characterization ......................................... .... ...................................14
4.1.2.
Test Material Identification................................. .. ... ........................................14
4.2.
Reserve Samples ......................................... ... .... ................................................15
4.3.
Test Items Inventory and Disposition..... ........ ....................................................15
4.4.
Dose Dispensing and Analysis........ ... ... ............................................................15
4.4.1.
Preparation of Formulations ......... ....... ................................................................15
4.4.2.
Sample Collection and Analysi ... .......................................................................15
4.5.
Test System.................... ....... ... ...........................................................................16
4.5.1.
Receipt ...................................................................................................................16
4.5.2.
Justification for Test System and Number of Animals..........................................16
4.5.3.
Animal Identification (F0 Males and F0 Females) ................................................16
4.5.4.
Environmental Acclimation...................................................................................16
4.5.5.
Selection, Assignment, Replacement, and Disposition of Animals.......................16
4.5.6.
Husbandry..............................................................................................................17
4.6.
Experimental Design..............................................................................................18
under the Official Information Act 1982
4.6.1.
Administration of Test Materials ...........................................................................19
4.6.2
Justification of Route and Dose .............................................................................19
4 7.
In-Life Procedures, Observations, and Measurements ..........................................19
4 7.1.
Mortality/Moribundity Checks ..............................................................................19
4.7.2.
Clinical Observations.............................................................................................19
4.7.3.
Body Weights.........................................................................................................20
4.7.4.
Food Consumption.................................................................................................20
Released
4.7.5.
Estrous Cycles........................................................................................................20
4.7.6.
Mating....................................................................................................................20
CONFIDENTIAL
090177e195dde5dd\Approved\Approved On: 22-Dec-2020 14:26 (GMT)
Document 1
Final Report
Page 3
Sponsor Reference No. RN9391R58
Test Facility Study No. 20256434
4.8.
Pregnancy and Parturition (Littering Subgroup Females) .....................................21
4.9.
Litter Data (Littering Subgroup Females)..............................................................21
4.10.
Antibody Evaluation ..............................................................................................21
4.10.1.
Antibody Sample Collection..................................................................................21
4.10.2.
Antibody Sample Processing .................................................................................22
4.10.3.
Antibody Analysis by Microneutralization CPE-Based ........................................22
4.11.
Terminal Procedures ..............................................................................................23
4.11.1.
Unscheduled Deaths............................................................................................ ..23
4.11.2.
Scheduled Euthanasia ................................................................................... .. ...23
4.11.3.
Necropsy ......................................................................................................... ......23
4.11.4.
Fetal Examination (Caesarean-Section)............................................. .. .............24
5.
STATISTICAL ANALYSIS ................................................................. ... ...................24
5.1.
Constructed Variables.............................................................. ... .........................25
5.2.
Descriptive Statistical Analyses..................................... .... ................................26
5.3.
Inferential Statistical Methods ................................ .. .. ......................................26
5.4.
Parametric/Non-Parametric.................................... ..............................................27
5.5.
Non-Parametric ............................................. ... ...................................................27
5.6.
Incidence .................................................... ...........................................................27
6.
COMPUTERIZED SYSTEMS ............... ... .................................................................28
7.
RETENTION AND DISPOSITION OF RECORDS, SAMPLES,
AND SPECIMENS ................. ...... .. ...........................................................................28
8.
RESULTS........................................................................................................................30
8.1.
Serum Antibody Analysis ......................................................................................30
8.2.
Mortality ........... ... ...............................................................................................30
8.3.
Clinical Observations.............................................................................................30
8.4.
Body Weight ..........................................................................................................31
8.5.
Food Consumption.................................................................................................31
8.6.
Estrous Cycle Data.................................................................................................31
under the Official Information Act 1982
8.7.
Maternal Mating Performance and Fertility ..........................................................32
8.8.
Caesarean Data.......................................................................................................32
8.8 1.
Gravid Uterus Weight ............................................................................................32
8 8.2.
Pregnancy Incidence ..............................................................................................32
8.8.3.
Pre-Implantation Data............................................................................................33
8.8.4.
Post-Implantation Data ..........................................................................................33
8.8.5.
Fetal Data ...............................................................................................................33
Released
CONFIDENTIAL
090177e195dde5dd\Approved\Approved On: 22-Dec-2020 14:26 (GMT)
Document 1
Final Report
Page 4
Sponsor Reference No. RN9391R58
Test Facility Study No. 20256434
8.9.
Fetal Examinations.................................................................................................33
8.9.1.
External Observations............................................................................................33
8.9.2.
Visceral Observations ............................................................................................34
8.9.3.
Skeletal Observations.............................................................................................34
8.10.
Delivery and Litter Data ........................................................................................34
8.10.1.
Parturition and Gestation Length ...........................................................................34
8.10.2.
Pre-Birth Loss ........................................................................................................35
8.10.3.
Pup Viability and Litter Sizes............................................................................. ..35
8.10.4.
Pup Clinical Observations............................................................................. .. ...35
8.10.5.
Pup Weights .................................................................................................... ......36
8.10.6.
Pup Physical and Functional Development ....................................... .. .............36
8.10.7.
Pup Necropsy Findings .............................................................. .. ... .................36
8.11.
Necropsy Findings of Adult Females .................................... .. . .........................36
9.
INTEGRATED SUMMARY AND DISCUSSION OF RESULTS ...............................37
10. CONCLUSION ........................................................... ... ..... ........................................38
11. REFERENCES ..................................................... .. .... ...............................................39
EXPLANATION PAGE.............................................. ...........................................................40
FIGURES......................................................... ... .................................................................45
TABLES ................................................. ... ... .......................................................................54
APPENDICES ................................. ...... .............................................................................114
under the Official Information Act 1982
Released
CONFIDENTIAL
090177e195dde5dd\Approved\Approved On: 22-Dec-2020 14:26 (GMT)
Document 1
Final Report
Page 5
Sponsor Reference No. RN9391R58
Test Facility Study No. 20256434
LIST OF FIGURES
Figure 1 Mean Pre-Mating Body Weight of Females ..........................................................46
Figure 2 Mean Gestation Body Weights ..............................................................................47
Figure 3 Mean Lactation Body Weights ..............................................................................48
Figure 4 Mean Pre-Mating Food Consumption of Females.................................................49
Figure 5 Mean Gestation Food Consumption ......................................................................50
Figure 6 Mean Lactation Food Consumption.......................................................................51
Figures 7a and 7b Mean Pup Body Weights............................................................................52
under the Official Information Act 1982
Released
CONFIDENTIAL
090177e195dde5dd\Approved\Approved On: 22-Dec-2020 14:26 (GMT)
Document 1
Final Report
Page 6
Sponsor Reference No. RN9391R58
Test Facility Study No. 20256434
LIST OF TABLES
Table 1
Summary Pre-Mating Clinical Observations of Females ......................................55
Table 2
Summary Gestation Clinical Observations............................................................57
Table 3
Summary Lactation Clinical Observations ............................................................59
Table 4
Mean Pre-Mating Body Weight of Females ..........................................................64
Table 5
Mean Pre-Mating Body Weight Change of Females.............................................68
Table 6
Mean Gestation Body Weight................................................................................72
Table 7
Mean Gestation Body Weight Change ..................................................................74
Table 8
Mean Lactation Body Weight....................................................................... .. .. 76
Table 9
Mean Lactation Body Weight Change................................................... ............78
Table 10 Mean Pre-Mating Food Consumption of Females........................... .. .. ............80
Table 11 Mean Gestation Food Consumption .......................................... ... ....................81
Table 12 Mean Lactation Food Consumption........................................ . .. ........................83
Table 13 Mean Estrous Cycle Data.................................................... .................................85
Table 14 Summary of Cohabitation Data and Maternal Performance..................................87
Table 15 Mean Gravid Uterus Weight and Maternal Body Weight Change ........................88
Table 16 Mean Caesarean Section Data ..................... ... ....................................................89
Table 17 Summary of Foetal External, Visceral and Skeletal Observations ........................91
Table 18 Summary of Delivery and Litter Data .. ... ..........................................................100
Table 19 Mean Pup Body Weight................ .... ................................................................104
Table 20 Summary of Reflex and Physical Development ..................................................109
Table 21 Summary of Maternal Macroscopic Observations ..............................................110
under the Official Information Act 1982
Released
CONFIDENTIAL
090177e195dde5dd\Approved\Approved On: 22-Dec-2020 14:26 (GMT)
Document 1
Final Report
Page 7
Sponsor Reference No. RN9391R58
Test Facility Study No. 20256434
LIST OF APPENDICES
Appendix 1 Study Plan, Last Amendment to Study Plan and Deviations.........................115
Study Plan ......................................................................................................115
Last Amendment to Study Plan .....................................................................140
Deviations ......................................................................................................167
Appendix 2 Certificates of Analysis..................................................................................168
Appendix 3 Formulation Homogeneity.............................................................................179
Appendix 4 Individual Mortality.......................................................................................187
Appendix 5 Individual Pre-Mating Clinical Observations of Females ...................... .. .. 193
Appendix 6 Individual Gestation Clinical Observations ..................................... ..........225
Appendix 7 Individual Lactation Clinical Observations ............................... .. .. ..........243
Appendix 8 Individual Clinical Observations of Excluded Females....... ... ..................270
Appendix 9 Individual Pre-Mating Body Weight and Body Weight Change
of Females.................................................................. .... ...........................274
Appendix 10 Individual Gestation Body Weight and Body Weight Change......................322
Appendix 11 Individual Lactation Body Weight and Body Weight Change ......................346
Appendix 12 Individual Pre-Mating Food Consumption of Females .................................370
Appendix 13 Individual Gestation Food Consumption.... ..................................................382
Appendix 14 Individual Lactation Food Consumption .......................................................394
Appendix 15 Individual Estrous Cycle Data ....... ..............................................................402
Appendix 16 Individual Mating Performance .....................................................................426
Appendix 17 Individual Gravid Uterus Weight and Maternal Body Weight Change.........438
Appendix 18 Individual Caesarean Section Data ................................................................446
Appendix 19 Individual Foetal Weight and Status..............................................................462
Appendix 20 Individual Foetal External Observations .......................................................481
Appendix 21 Individua Foetal Visceral Observations........................................................541
Appendix 22 Individual Foetal Skeletal Observations ........................................................614
Appendix 23 Individual Delivery and Litter Data...............................................................714
Appendix 24 Individual Pup Body Weights........................................................................722
under the Official Information Act 1982
Appendix 25 Individual Physical, Reflex and Functional Development ............................796
Appendix 26 Serum Antibody Analysis ..............................................................................820
Appendix 27 Individual Maternal Macroscopic Observations............................................849
Appendix 28 Individual Pup Macroscopic Observations ..................................................1025
Appendix 29 Historical Control Data ................................................................................1084
Historical Control Data from Wistar Rat (CRL Lyon) ................................1084
Historical Control Data from Wistar Rat (CRL Den Bosch).......................1109
Released Historical Control Data from Wistar Rat (CRL Horsham)..........................1114
Historical Control Data from Sprague Dawley Rat (CRL Horsham) ..........1128
CONFIDENTIAL
090177e195dde5dd\Approved\Approved On: 22-Dec-2020 14:26 (GMT)

under the Official Information Act 1982
Released

under the Official Information Act 1982
Released
Document 1
Final Report
Page
Page 10
Sponsor Reference No. RN9391R58
Test Facility
Study
No.
20256434
1.
RESPONSIBLE PERSONNEL
Role/Phase
QAU
Name
Contact Information
Study Director
Charles
River
s 9(2)(a)
, PhD
Address as cited for Test Facility
Test Facility
Charles
Management
River
s 9(2)
, General Director
Address as cited for Test Facility
Test Facility
Charles
s 9(2) , MSc,
QAU
River
Chemical Engineer
Address as cited for Test Facility
Principal Investigator (PI)
Role/Phase
GLP
Compliance
Name
Contact Information
Serum
No
VisMederi Srl
Antibody
(compliance
s 9(2)
Strada del Petriccio e Belriguardo, 35
Analysisa
with the
GCLP)
53100 Siena, Italy
a: Test Site selected by the Study Sponsor in agreement with the Study Director.
under the Official Information Act 1982
Released
CONFIDENTIAL
090177e195dde5dd\Approved\Approved On: 22-Dec-2020 14:26 (GMT)
Document 2
Summary of Results from “A Combined Fertility and Developmental Study
(Including Teratogenicity and Postnatal Investigations) of BNT162b1, BNT162b2 and
BNT162b3 by Intramuscular Administration in the Wistar Han Rat (20256434)”
BNT162b2 was administered by IM injection at the human clinical dose (30 µg RNA/dosing
day) to 44 female Wistar Han rats (F0) 21 and 14 days prior to mating with untreated males and
on Gestation Days (GD) 9 and 20, for a total of 4 dosing days. A separate control group of
44 F0 females received saline by the same route and regimen. This study also included
assessment of two other LNP-formulated RNA vaccine candidates (BNT162b1 and BNT162b3)
that did not proceed into Phase 2/3 clinical trials. Here, the study findings from BNT162b2 are
summarized; findings from the BNT162b1 and BNT162b3 vaccine candidates also tested in this
study were generally similar.
Following completion of a mating phase with untreated males, 22 rats/group underwent
caesarean-section on GD 21 and were submitted to routine embryo-fetal development
evaluations. The remaining 22 rats/group were allowed to litter and behaviour of the mothers and
development of the offspring was observed until Postnatal Day (PND) 21.
There were no BNT162b2-related deaths during the study. IM administration of BNT162b2
before and during gestation to female Wistar rats resulted in non-adverse clinical signs and
macroscopic findings localized to the injection site as well as transient, non-adverse body weight
and food consumption effects after each dose administration. These maternal findings are all
consistent with administration of a vaccine and an inflammatory/immune response and with
those observed in the repeat-dose toxicity study with BNT162b2.
There were no BNT162b2-related effects on any mating or fertility parameters. There were no
BNT162b2-related effects on any ovarian, uterine, or litter parameters, including embryo-fetal
survival, growth, or external, visceral, or skeletal malformations, anomalies, or variations. There
were no effects of BNT162b2 administration on postnatal offspring (F1) development, including
postnatal growth, physical development (pinna unfolding and eye opening), neurodevelopment
(pre-weaning auditory and visual function tests), macroscopic observations, and survival.
All of F0 females administered BNT162b2 developed a SARS-CoV-2 neutralizing antibody
response and these responses were detectable in all fetuses and pups from the caesarean and
littering groups, respectively. The animals in the saline control group did not exhibit an immune
under the Official Information Act 1982
response to BNT162b2.
In conclusion, administration of BNT162b2 to female rats twice before the start of mating and
twice during gestation at the human clinical dose was associated with non-adverse effects (body
weight, food consumption and effects localized to the injection site) after each dose
administration. However, there were no effects of BNT162b2 administration on mating
performance, fertility, or any ovarian or uterine parameters in the F0 female rats nor on embryo-
fetal or postnatal survival, growth, or development in the F1 offspring. An immune response was
Released
confirmed in F0 female rats following administration of each vaccine candidate and these
responses were also detectable in the F1 offspring (fetuses and pups).
090177e195cd0d0b\Approved\Approved On: 15-Dec-2020 17:20 (GMT)