This is an HTML version of an attachment to the Official Information request 'Oranga Tamariki’s Chief Executive’s Advisory Panel OIA act request'.

1982
ACT 
INFORMATION 
OFFICAL 
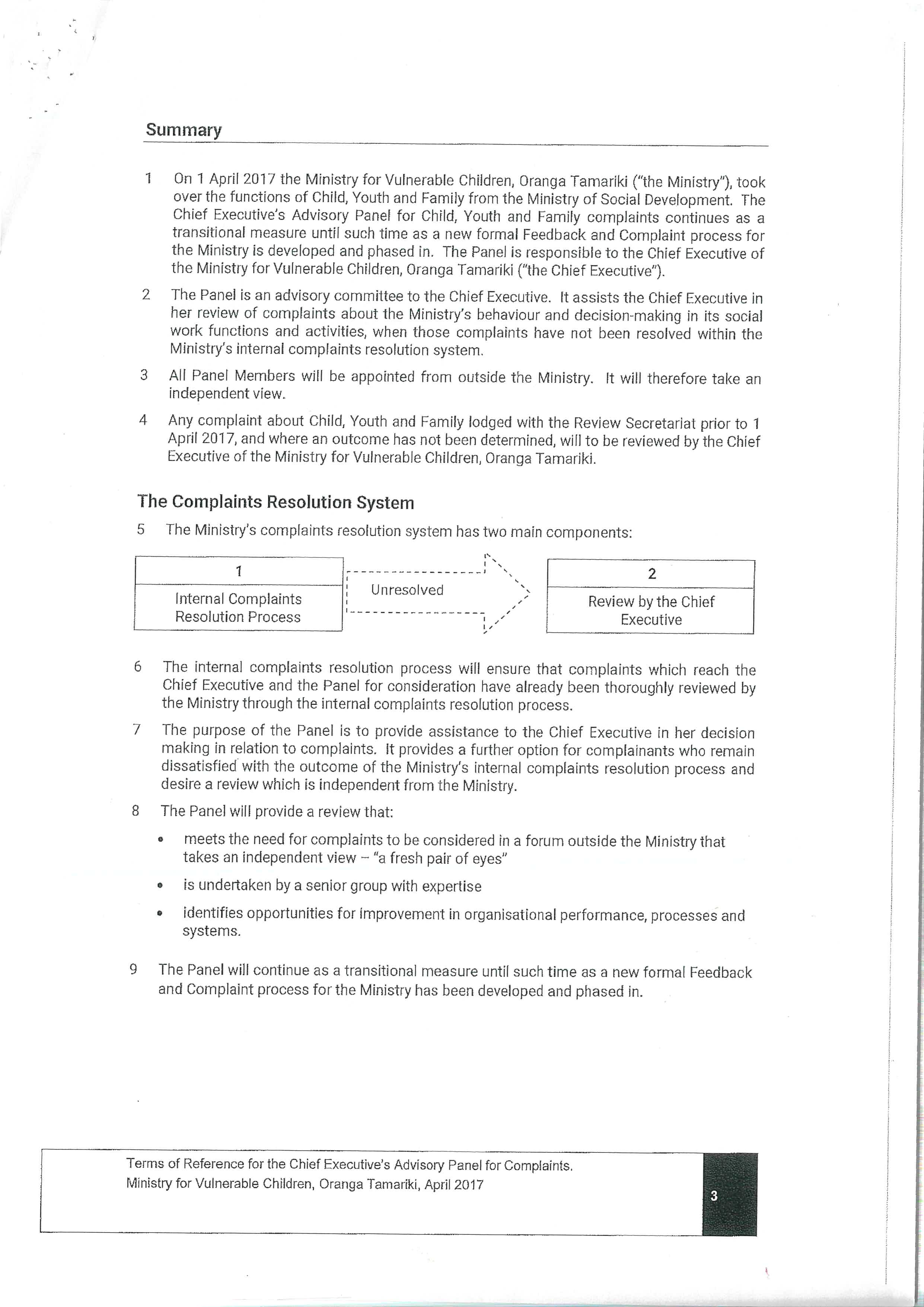
THE 
UNDER 
RELEASED 


1982
ACT 
INFORMATION 
OFFICAL 
THE 
UNDER 
RELEASED 


1982
ACT 
INFORMATION 
OFFICAL 
THE 
UNDER 
RELEASED 


1982
ACT 
INFORMATION 
OFFICAL 
THE 
UNDER 
RELEASED 


1982
ACT 
INFORMATION 
OFFICAL 
THE 
UNDER 
RELEASED 


1982
ACT 
INFORMATION 
OFFICAL 
THE 
UNDER 
RELEASED 


1982
ACT 
INFORMATION 
OFFICAL 
THE 
UNDER 
RELEASED 


1982
ACT 
INFORMATION 
OFFICAL 
THE 
UNDER 
RELEASED 


1982
ACT 
INFORMATION 
OFFICAL 
THE 
UNDER 
RELEASED 


1982
ACT 
INFORMATION 
OFFICAL 
THE 
UNDER 
RELEASED 


1982
ACT 
INFORMATION 
OFFICAL 
THE 
UNDER 
RELEASED