CLASSIFICATION
January 2025. The Cabinet paper does not indicate that preference; instead setting out
the considerations associated with each option for a start date.
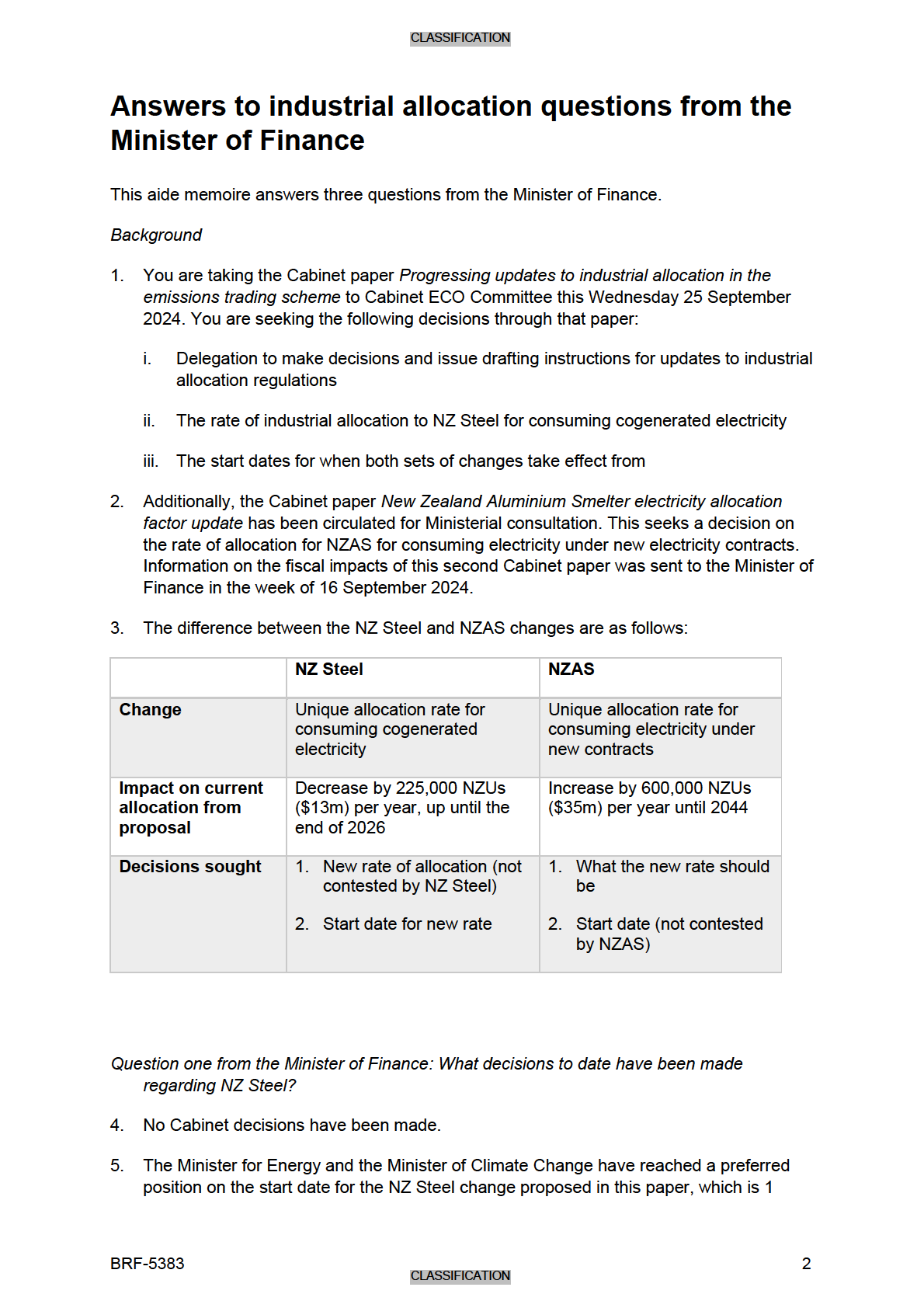
6.
We understand that the Minister intended to take an oral item to Cabinet on 8 July 2024,
at which he intended to note his preferred start date option for NZ Steel (1 January
2025) and his preference to start the other baseline updates from 1 January 2024.
7.
The current rate of allocation dates from 2010 and was set then by the Minister for
Climate Change Issues within technical industrial allocation accounting rules.
Question two from the Minister of Finance: What decisions to date have been made
regarding NZAS?
8.
No Cabinet decisions have been made on the new rate of allocation.
9.
The Minister for Energy and the Minister of Climate Change have discussed a preferred
rate of allocation. The Cabinet paper provides that rate as the recommendation. The
Minister of Climate Change had an oral item on the Cabinet agenda for 27 May 2024 at
which he intended to give an overview of the proposal, including its fiscal impacts.
10. The current rate of allocation was agreed by Cabinet in 2021 and is based on an
electricity contract that has expired.
Question three from the Minister of Finance: For NZAS, why did the incorrect forecast
assumptions occur?
11. ETS fiscal forecasts have used a consistent methodology for forecasting industrial
allocation, including to NZAS, based on status-quo electricity contracts. The effect of
applying the usual methodology to the forecasts was that BEFU forecasts assumed no
industrial allocation for NZAS for electricity use. The firm’s electricity contracts have long
terms and have generally been replaced well before expiration. The consideration of
what should be reflected in fiscal forecasts following electricity contract expiration and
without a replacement has not been an issue in the past.
12. Given decisions about the future allocation were yet to be made at the time, it would not
necessarily have been straightforward to conclude what the most appropriate
assumption would have been. However, in hindsight, a closer examination of those
assumptions was needed to support an active judgement. The practical fiscal impact of
the forecasts continuing the methodology used in the past is that the new proposed EAF,
if agreed by Cabinet, will be recognised as an additional Crown expense, requiring an
out of cycle funding bid.
13. MfE has reviewed the ETS-related forecast processes and governance and key
judgements will be tested and agreed with Treasury for each update in future.
BRF-5383
3
CLASSIFICATION

CLASSIFICATION
Signatures
Mark Vink
Hon Simon WATTS
General Manager, Markets
Minister of Climate Change
Date
Date
BRF-5383
4
CLASSIFICATION